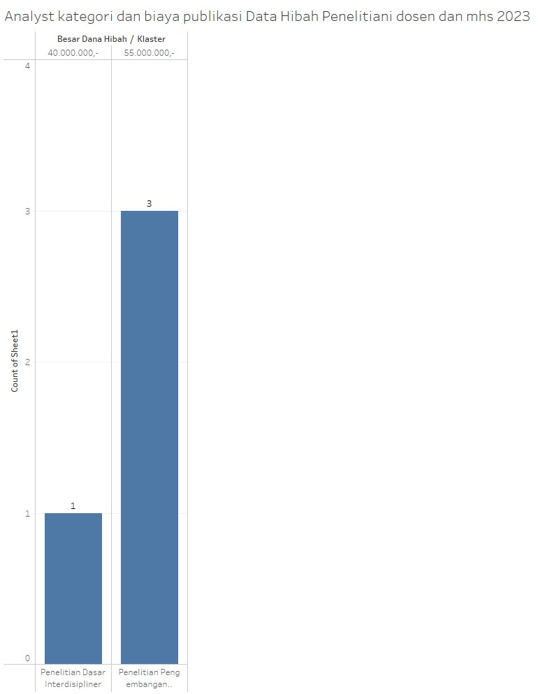
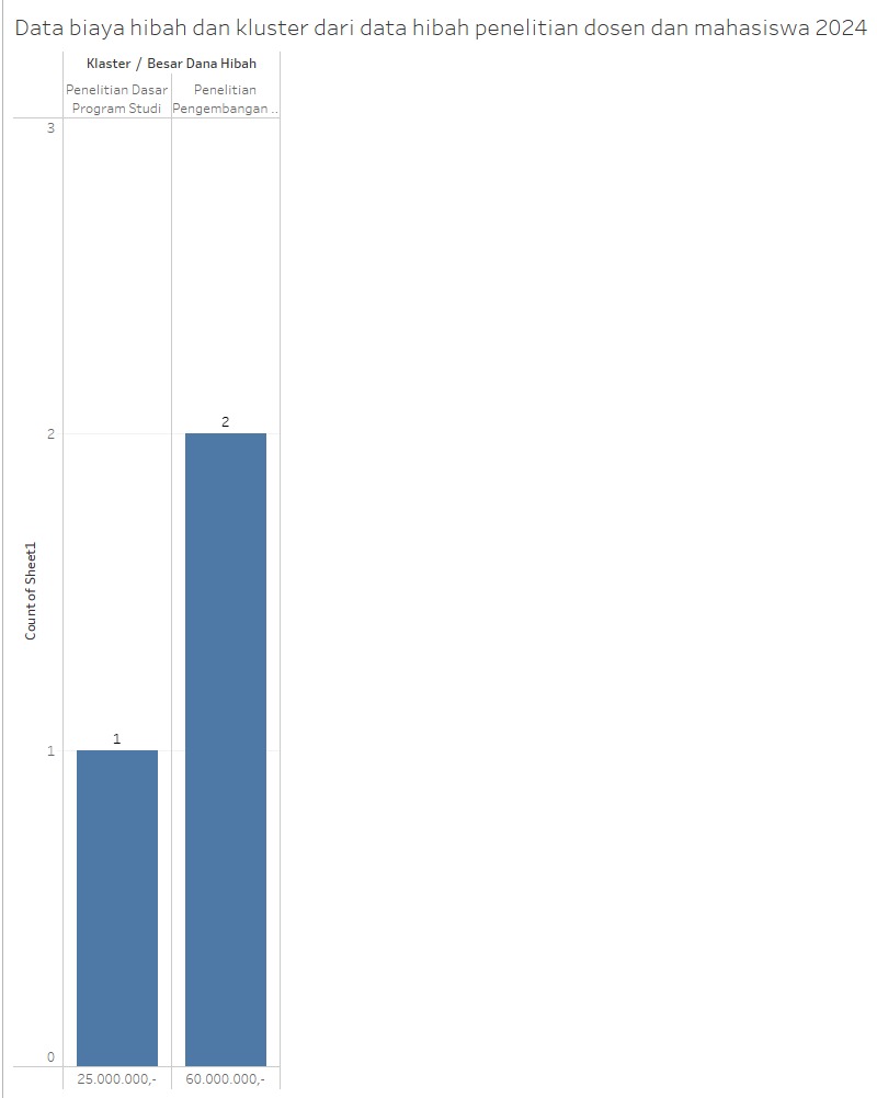
Hibah Publikasi Dosen